
在CO2地質封存過程中,殘余水對控制CO2在深層咸水含水層中的安全運移和封存起著至關重要的作用。本研究采用正交設計實驗方法和結合核磁共振(NMR)技術的巖心驅替系統,以殘余水飽和度(SW)為評價指標,研究了孔隙度(φ)、壓力(P)和注入壓差(ΔP)對殘余水形成的影響機制。使用3個人工均質砂巖巖心(孔隙度:5%、10%、15%),共進行了11次巖心驅替實驗(每次持續24小時以上)。結果表明,注入壓差(標準化系數:-0.573)對殘余水飽和度的影響最大,其次是孔隙度(0.572),而壓力(-0.380)的影響最小。從定量上講,較高的注入壓差和壓力會減少殘余水,從而增加二氧化碳儲存能力,提高封存安全性;相反,孔隙度的增加會提高殘余水,從而可能限制儲存效率。利用SPSS軟件進行多元線性回歸分析,得出殘余水飽和度預測模型為:SW=0.782+1.206φ-0.04P-0.202ΔP。核磁共振技術的應用不僅從微觀角度闡明了上述3個因素對殘余水飽和度的影響機制,而且定量評估了巖心中不同孔徑的水飽和度和殘余水在不同孔徑上的分布率。這種正交核磁共振集成建立了一個新的宏觀微觀研究框架,提供了參數控制和機理見解,在地下流動研究中具有廣泛的適用性。
CO2地質封存是全球公認的實現CO2減排的關鍵技術,對實現“碳達峰”和“碳中和”目標至關重要。鑒于其地質結構,深部含鹽含水層被廣泛認為是長期CO2地質封存的最佳選擇,與其他類型的深部地下封存相比,其CO2封存潛力最大。然而,在向含水層注入CO2之后,超臨界CO2和地層鹽水的多相流動動力學導致巖石孔隙內的殘余水被毛細管捕獲。砂巖中殘余水的存在直接影響了CO2的封存能力,對實際的CO2地質封存項目提出了挑戰。因此,深入探討各種因素影響砂巖儲層殘余水形成的機制至關重要。
全球范圍內已圍繞殘余水形成的影響因素開展了廣泛研究。現有研究通過非穩態/穩態巖心驅替實驗等多種方法,系統探究了砂巖等多孔介質中CO2與鹽水的相互作用過程,明確了諸多關鍵因素對殘余水飽和度的調控作用。具體而言,流體特性層面,CO2在鹽水中的溶解行為、CO2/水粘度比及鹽水濃度,均會顯著影響殘余水含量;驅替條件方面,注入流量、注入壓力、注入方向及初始鹽水飽和度,會改變殘余水的形成與分布狀態,其中較高初始鹽水飽和度易導致注入過程中CO2捕獲比例提升;介質屬性上,巖石滲透率、潤濕性、石英含量等固有特征,對殘余水飽和度具有基礎性影響;此外,溫度條件及CO2在巖石孔隙中的空間分布均勻性,也被證實與殘余水飽和度密切相關,如溫度升高通常會使殘余水飽和度增加,而CO2分布均勻時則可降低殘余水飽和度。
盡管之前的研究討論了影響殘余水形成的各種因素,但對孔隙度、壓力和注入壓差影響殘余水機制的研究仍然有限。同時,之前的研究主要集中在單個參數的宏觀、孤立效應上。另一個顯著的局限性是缺乏從核磁共振等技術中獲得的孔隙尺度證據,這對于揭示控制殘余水形成的多種因素的復雜作用至關重要。近年來,核磁共振(NMR)技術因其高分辨率、非破壞性、實時性能和定量分析的優點,已成為研究巖心驅替實驗中流體分布、遷移行為和孔隙結構變化的有力工具。同時,正交實驗法因其合理優化實驗設計、有效提高研究效率和數據質量、節省時間和經濟成本等優點,越來越受到專家學者的青睞。本研究采用正交實驗和核磁共振技術相結合的方法,以孔隙度、壓力和注入壓差為影響因素,以殘余水飽和度為評價指標。進行了9組正交設計的巖心驅替實驗,以研究上述因素在微觀尺度上對殘余水形成的影響機制。在闡明孔隙度、壓力和注入壓差對殘余水飽和度影響程度的同時,利用多元線性回歸建立了殘余水飽和度預測模型。此外,利用核磁共振技術定性分析和定量檢查了巖心內不同孔徑中水的遷移和賦存模式。研究結果為提高深層含鹽含水層中CO2地質封存效率、幫助選擇目標儲層位置和降低工程應用成本提供了理論參考。
本研究中使用的材料包括純度為99.99%的CO2、去離子水和3個人工均質巖心。表1給出了3個人工巖心的詳細信息。
表1 實驗巖心信息

核磁共振巖心驅替實驗采用蘇州紐邁公司提供的MesoMR12-060H-I磁共振成像系統完成,裝置示意圖如圖1所示。在驅替過程中,使用CPMG序列和HSE序列對巖心進行連續測試,獲得驅替過程中不同時間含水巖心的T2光譜和MRI圖像,實現驅替過程中水相遷移和產狀的可視化表征。核磁共振巖心驅替實驗流程如下:(1) 在正式實驗之前,對核磁共振系統進行校準,以確保數據的準確性。系統的校準是通過將標準樣品放置在巖心支架中進行的。運行自由感應衰減序列,優化射頻脈沖功率和頻率偏移,以獲得最佳的自由感應衰減(FID)信號,從而確保橫向弛豫時間(T2)測量的定量精度。隨后,通過將樣品定位在磁體等中心、執行Scout掃描和進行勻場來校準成像系統,以優化成像區域的磁場均勻性;(2) 接著將巖心樣品在105℃的烘箱中干燥12小時,并測量其干重。然后通過施加20MPa的壓力48小時使其飽和,以實現完全的水飽和,然后測量其飽和重量。使用校準的CPMG和HSE序列獲得了完全飽和巖芯中的初始水分分布。然后施加12MPa的圍壓,并將溫度設置為33℃以建立實驗條件。在巖心下游端施加規定的壓力,以模擬儲層壓力。(3) 在這些準備之后,使用增壓泵將CO2氣體加壓至實驗所需的注入壓力,并在恒定的壓差下注入巖心。通過跟蹤巖心內的NMR信號強度實時監測驅替過程。CPMG和HSE順序測量以1小時為間隔依次進行。當兩次連續測量之間的信號強度差降至1%以下時,驅替過程終止,表明殘余水飽和度已達到不可降低的狀態。隨后,取出巖心,并測量其最終重量。所有剩余的實驗組都嚴格遵守這一相同的程序。

圖1 核磁共振巖心驅替實驗裝置示意圖
根據實驗結果,繪制了巖心驅替實驗結果的三維示意圖,如圖2所示。

圖2 實驗結果的三維示意圖
對正交實驗進行范圍分析(圖3),以評估每個因素對殘余水飽和度的影響。根據范圍(R)值的大小,結果表明,影響的順序是:注入壓力差>孔隙度>壓力,范圍(R值表示給定因素下殘余水飽和度的最大和最小平均值之間的差異。此外,水平均值(k值,定義為與因子的每個水平對應的殘余水飽和度的平均值)的比較表明,水平組合A1B3C1使殘余水飽和度最小化。

圖 3 正交實驗結果的極差分析
方差分析(ANOVA)與極差分析一起用于評估因子顯著性。雖然方差分析的F值(表2)表明孔隙度>注入壓差>壓力的影響層次,但沒有因素具有統計學意義(p>0.05)。極差分析和方差分析之間的差異源于它們不同的方法論基礎。范圍分析根據影響大小(R值)的大小對因素進行排名,突出顯示導致殘余水飽和度最大絕對變化的參數,而方差分析通過將方差分量與實驗誤差進行比較來評估統計顯著性(F和p值)。這種差異突顯了這兩種方法在識別具有實際影響和統計穩健性的影響因素方面的互補性。
表2 殘余水飽和度的方差分析結果

基于正交實驗結果,在兩個假設下建立了多元線性回歸模型:(1)其他因素對殘余水飽和度的影響可以忽略不計,(2)實驗室規模的巖心驅替實驗代表了實際的二氧化碳地質封存項目。使用SPSS軟件對孔隙度、壓力、注入壓差和殘余水飽和度的數據進行分析,將后者設置為因變量,將前三個設置為自變量。因變量和自變量之間的一般關系由方程(1)定義。

采用SPSS軟件對多元線性回歸模型進行擬合度和線性關系分析。SPSS生成的模型匯總表如表3所示。
表3 德賓-沃森檢驗

在表3中,“R”具體表示回歸模型的多元相關系數。根據表3,多元線性回歸模型的擬合表明,自變量——孔隙度、壓力和注入壓差——解釋了因變量——殘余水飽和度80%的變化。這表明,殘余水飽和度變化的80%受孔隙度、壓力和注入壓差的影響。表4顯示了每個自變量對殘余水飽和度的影響。非標準化系數(B)表示預測變量變化一個單位時因變量的實際變化。與每個系數相關的標準誤差(S.E.)反映了其估計的精度,較小的值表示更高的可靠性。標準化系數(Beta)通過消除這些單位,可以比較預測器的相對重要性。t值及其相應的顯著性水平(p值)檢驗了每個系數的統計可靠性。
表4 多元線性回歸方程的系數

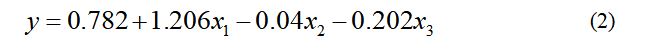
根據表4,回歸分析表明,孔隙度對殘余水飽和度有顯著的正向影響(系數=1.206,p=0.035),而注入壓差則有顯著的負向影響(系數=-0.202,p=0.035)。相比之下,壓力不是一個重要因素(p=0.115)。標準化系數表明,注入壓差的影響最大,其次是孔隙度,壓力的影響最小。95%置信區間表明,孔隙度和注入壓差的區間不包括0,表明兩者分別對殘余水飽和度有顯著的正向和負向影響;壓力范圍包括0,表示其影響不顯著。從表7可以看出,通過多元線性回歸分析得到的回歸方程為方程(2)所示。

式中,y為殘余水飽和度,x1為孔隙度,x2(MPa)為壓力,x3(MPa)為注入壓差。多元線性回歸模型顯示了令人滿意的解釋力(調整后的R2=0.80),具有統計學意義的預測因素;然而,它的統計穩健性受到兩個明顯的限制。首先,該模型受到L9正交陣列設計固有的有限樣本量(n=9)的約束,該設計優先考慮篩選效率,但可能會影響參數估計的穩定性。其次,該模型沒有考慮因素之間的潛在相互作用效應,因為它只關注估計主要效應。明確指出了這些局限性,以限定本研究結果的范圍,而推進研究的詳細建議將在結論部分詳細闡述。
孔隙度是指巖心中孔隙體積占總體積的比例,通常以百分比表示,反映了巖石中可以容納流體的空間大小。它是決定巖石儲層儲集能力和流體運移特征的關鍵參數。為了研究孔隙度對殘余水的影響,在保持其他參數不變的情況下進行了補充實驗L-11。實驗結果如圖4所示。圖4通過實驗L-4和L-11的對比分析,展示了孔隙度與殘余水飽和度之間的正相關關系。這種現象源于孔隙尺度的動力學機制:當巖心孔隙度較高時,CO2傾向于在大孔和中孔中形成主要的滲流通道,從而繞過以毛細管力為主的微孔區域,使微孔中的水難以被有效驅替。在低孔隙度條件下,巖心缺乏明顯的有利流動路徑,對二氧化碳流動的阻力增加,使其能夠更均勻地進入微納尺度孔隙,從而提高微尺度驅替效率,最終導致殘余水飽和度降低。孔隙度的增加增強了二氧化碳在大孔/中孔中的優先驅替(圖5),使微孔區域(特別是在孔隙度較高的巖心中)排水不足。核磁共振監測顯示,10%孔隙度巖心的微孔T2信號持續降低,而15%孔隙度試樣的變化很小,這證實了高孔隙度巖心微孔中的水難以有效驅替。

圖 4 L-4和L-11組殘余水飽和度的比較

圖 5 L-4和L-11組T2曲線的比較
壓力是影響CO2地質儲量和地下流體行為的重要因素。在CO2地質封存過程中,壓力不僅決定了封存巖層的流體狀態,而且對CO2的注入、運移和封存穩定性有直接影響。為了研究壓力對殘余水的影響,在保持其他參數不變的情況下進行了補充實驗L-10和L-11。實驗結果如圖6所示。如圖6所示,隨著壓力的增加,殘余水飽和度降低,這驗證了多元線性擬合得到的壓力與殘余水飽和度之間的負相關關系。如拉普拉斯方程(方程(3))所示。

式中,Pc(MPa)為毛細管入口壓力,γ(mN/m)為CO2-H2O體系中的界面張力,(°)為接觸角,R1(m)為多孔介質的有效孔隙半徑。
升高的壓力降低了CO2-水界面張力(方程式(3)),從而降低了毛細管入口壓力并提高了小孔排水效率。核磁共振分析(圖7)通過壓力依賴性T2振幅降低證明了這一機制:#1巖心的納米孔在9/10MPa時峰值降低了15.62/17.84,而#3巖心的微孔在8/10MPa時降低了13.47/14.04。核磁共振數據證明,壓力增加有效地促進了水從納米微米孔中的排出。不同孔隙度巖心變化的一致趨勢進一步表明,壓力通過調節界面性質顯著優化了毛細管保水機制,這種現象在不同類型的孔隙中普遍存在。

圖 6 L-2/L-10和L-11/L-9組殘余水飽和度的比較

圖 7 L-2/L-10和L-11/L-9組T2曲線的比較
注入壓差是指巖心驅替實驗中注入壓力與背壓(壓力)之間的差值,是影響CO2流量和驅替效率的關鍵因素。為了研究注入壓差對殘余水的影響,在保持其他參數不變的情況下進行了補充實驗L-10和L-11。實驗結果如圖8所示。

圖 8 L-3/L-10和L-11/L-7組殘余水飽和度的比較
通過對L-10/L-3和L-11/L-7實驗組的比較分析(圖8),本研究揭示了注入壓差與殘余水飽和度之間存在顯著的負相關關系。從孔隙尺度流體動力學的角度來看,增加注入壓差可以提高孔隙系統內CO2的驅替能力,使其能夠克服低滲透區的毛細管阻力閾值,并有效地調動在常規條件下保持不動的毛細管截留水。圖9通過
L-11和L-7巖心的MRI成像進一步證明了這一機制,其中巖心徑向上端和下端附近的漸進信號衰減與注入壓差的增加相關,表明水驅替增強,殘余飽和度降低。與L-7相比,L-11(注入壓差較低)的MRI信號明顯更強,直接驗證了注入壓差在控制殘余水飽和度方面的作用。盡管低孔隙度巖心(L-3/L-10)的MRI分辨率有限,但一致的飽和度趨勢支持這種孔隙尺度機制。這些發現與多元回歸預測一致,證實了優化注入壓差可以顯著提高驅替效率,特別是在連通性較差的孔隙區域,從而為有效的二氧化碳地質封存提供了關鍵的理論支持。

圖 9 L-11和L-7組MRI圖像的比較
T2曲線動態表征了驅替過程中巖心水的分布/遷移。圖10-12顯示了九個正交實驗(#1、#2、#3巖芯)的T2曲線。大于1000ms的信號(圖10-12)表示飽和的管道殘余水,而不是巖心內的殘余水。 圖10顯示,在驅替過程中,1號巖心的大/中孔內的水分被迅速驅走,而微孔逐漸減少。納米孔保持穩定的含水量,除了接近峰值T2值。圖11-12顯示,注入二氧化碳會導致2號巖心(類似于1號巖心)和3號巖心中的大/中孔迅速耗水,而微孔的減少幅度很小,納米孔保持穩定。值得注意的是,3號巖心表現出加速的驅替動力學,在最初的10分鐘內排出了50%以上的水。九次正交驅替實驗的T2光譜表明,水遷移與孔隙結構密切相關。殘余水主要占據微孔/納米孔,由拉普拉斯方程(方程(3))解釋:毛細管進入壓力與孔隙半徑成反比,需要更高的壓力使二氧化碳侵入較小的孔隙以驅替水。

圖 10 #1巖心驅替實驗T2曲線

圖 11 #2巖心驅替實驗T2曲線

圖12 #3巖心驅替實驗T2曲線
為了對不同孔徑的水運移和賦存進行綜合分析,利用驅替實驗的初始T2曲線和驅替實驗結束時的T2曲線計算了9個不同孔徑正交設計驅替實驗的含水飽和度,計算結果如圖13所示。不同孔徑的含水飽和度計算公式如方程式(4)所示。

其中R是不同孔徑的含水飽和度,A1是驅替結束時T2曲線中納米孔、微孔、中孔或大孔范圍內的核磁信號總量,A2是初始T2曲線中的納米孔、微孔、中孔、或大孔的核磁信號總量。
圖13展示了九個正交實驗中孔徑依賴的水分布,納米孔保持>80%的水飽和度,而大孔保持<10%的水飽和度。這種差異源于成反比的毛細管進入壓力(方程式(3)),其中納米級孔需要比大孔高3-5倍的置換壓力。值得注意的是,實驗L-5/L-8/L-9顯示納米孔飽和度>100%,揭示了二氧化碳驅替過程中顯著的毛細管膨脹效應:當二氧化碳作為非潤濕相進入大孔喉道時,產生的毛細管壓差促使孔隙水自發遷移到具有更強毛細管力的納米級孔隙。
為了進一步分析驅替實驗后不同孔徑的殘余水分布比例,利用驅替實驗的初始T2曲線和驅替實驗結束后的最終狀態的T2曲線計算每組實驗不同孔徑的殘余水分布比例,計算結果如圖14所示。計算殘余水分部比例的方程式(5)如下。

其中P是殘余水分布比例,A1是驅替結束時T2曲線中納米孔、微孔、中孔或大孔范圍內的核磁信號總量,A3是驅替結束時T2曲線中所有孔的核磁信號總量。
從圖14可以看出,在9組正交設計的巖心驅替實驗中,殘余水主要存在于納米孔和微孔中,90%以上的殘余水出現在納米孔和微孔(L-8)中。除L-4外,不少于70%的殘留水存在于納米孔和微孔中。從圖14可以看出,大孔中殘留的水不到5%,這表明絕大多數水最終存在于納米孔、微孔和中孔中。這表明,在不同的實驗條件下,大孔仍然是二氧化碳驅水的主要區域,而納米孔中的水很容易被二氧化碳氣體堵塞和保留。因此,大孔隙比例高的巖心容易發生氣竄,進而影響小孔隙中水的驅替。因此,圖13和14表明,巖心的孔隙結構對捕獲殘余水的過程有重大影響。

圖13 不同孔徑的含水飽和度

圖14 不同孔徑的殘余水分布比例
為了分析巖心驅替過程中的平面內水的遷移賦存,MRI可視化了二維水分布(圖15-17)。低(藍色)和高(紅色)信號強度分別對應于含水量的降低和升高。MRI圖像顯示了CO2驅替過程中顯著的空間異質性特征(圖15-17)。低孔隙度#1巖心最初表現出微弱的MRI信號,在整個CO2驅替過程中逐漸衰減,直到與背景噪聲無法區分,這最終證明MRI圖像質量主要受孔隙空間中的含水量控制。與之形成鮮明對比的是,#2和#3巖心最初表現出均勻的水分分布,但在注入二氧化碳的過程中逐漸形成了明顯的非均勻模式:由毛細管捕獲引起的孤立水團和由毛細管末端效應引起的巖心出口積水。MRI圖像中觀察到的空間異質性對二氧化碳封存的安全性有重大影響。毛細管捕獲的水團簇增強了殘余相捕獲,這可能會產生局部飽和度梯度。因此,確定該水團的分布模式對于定位剩余封存優勢區和預測二氧化碳羽流滯留路徑至關重要。出口處的毛細管端部效應表明,如果在現場模擬中沒有適當考慮,實驗室測量可能會高估剩余捕獲效率。這些發現強調了在儲層模型中考慮孔隙尺度非均質性的必要性,以更準確地預測二氧化碳羽流的長期遷移模式和捕獲機制。

圖15 #1巖心MRI圖像

圖16 #2巖心MRI圖像

圖17 #3巖心MRI圖像
本文結論:
本研究通過巖心驅替實驗研究了孔隙度、壓力和注入壓差對CO2-H2O流動和殘余水飽和度的影響。通過將正交設計與核磁共振技術相結合,建立了一個預測模型,闡明了控制水遷移和分布的潛在機制,為多相流過程提供了關鍵見解。主要結論總結如下:
(1)使用SPSS軟件建立多元線性回歸方程:SW=0.782+1.206φ-0.04P-0.202ΔP。分析表明,注入壓差的影響最大,其次是孔隙度,壓力的影響最小。模型的可靠性和線性關系的顯著性得到了統計證實。
(2)驗證實驗證實了模型預測的關系:殘余水飽和度隨著孔隙度的增加而增加,但隨著壓力和注入壓差的增加而降低。這是因為較高的孔隙度增強了小孔中的保水性,而較大的壓力降低了界面張力,較大的注入壓差提高了波及效率,兩者都增強了驅替過程。
(3)核磁共振分析表明,驅水效率受孔隙結構的控制。大孔中的水優先被驅替,而納米孔和微孔則是主要的儲存空間,容納了高達90%的殘留水。這一定量結果突顯了從小孔中回收水的關鍵挑戰。
本研究系統地闡明了孔隙度、壓力和注入壓差影響殘余水形成的孔隙尺度機制,為解決地質儲碳的實際挑戰提供了關鍵見解。在處理天然儲層的原位非均質性時,所揭示的孔隙尺度位移特征,如非均勻流體遷移模式,能夠預測非均質地層中的二氧化碳羽流路徑和捕獲行為,同時促進孔隙結構分類框架的開發,以指導高度可變儲層的選址和儲能效率評估。對于實際的二氧化碳注入操作和監測,建立的多元回歸模型為智能參數優化提供了理論基礎,驅替終點處的殘余水飽和度指標體系——結合孔徑范圍內的飽和度分布——為動態過程監測和性能評估提供了關鍵數據。在支持儲層模型參數化時,正交實驗得出的標準化系數作為模擬中相對滲透率曲線的加權因子,量化的孔隙尺度非均質性特征為孔隙網絡模型的構建提供了信息,特別是在定義孔隙分布函數時。這些綜合成果將微觀機制與現場應用聯系起來,顯著提高了二氧化碳封存項目的可預測性和可靠性。
然而,這項研究仍有一定的局限性。首先,多元線性回歸模型基于有限的正交實驗樣本量(n=9),沒有考慮因素之間的相互作用效應,盡管模型外推適用于初步篩選,但可能會影響模型外推的穩健性。其次,本研究中使用的人工均質砂巖巖心不能完全復制天然儲層的微觀尺度非均質性和各向異性特征,這些特征發展出復雜的成巖特征和多尺度孔隙-裂縫系統,從而限制了將結果直接外推到現實地質條件。為了解決這些限制,未來的研究可以通過以下方式在現有發現的基礎上進行:(1)采用響應面方法(RSM)擴大樣本量,并嘗試非線性多元回歸模型來系統地量化相互作用效應。(2)利用天然巖心結合微CT和NMR技術進行對比實驗,揭示地質形成的孔隙網絡對殘余水分布的影響。(3)實施現場規模的演示,將孔隙規模機制整合到儲層模擬器中,從而在實際的碳儲存場景中驗證實驗結論。

中尺寸核磁共振成像分析儀
[1] Yi Li, Wendong Dan, Yujie Diao, Li He, Ting Liu. Formation of residual water in sandstone CO2-H2O system: A comprehensive study based on orthogonal experiment and nuclear magnetic resonance method[J]. Journal of Hydrology, 2025, 666, 134842.
電話:400-060-3233
售后:400-060-3233
返回頂部