非飽和土廣泛分布于地殼表層,是眾多巖土工程(如邊坡、路基、堤壩)和農業環境領域的直接研究對象。其力學與水力性質的核心控制因素之一是基質吸力,即土中水相與氣相之間的壓力差。基質吸力直接影響土體的強度、變形和滲透特性,進而決定了工程結構的穩定性和安全性。

土壤-水特征曲線是描述含水量與基質吸力關系的關鍵曲線,對于非飽和土理論和工程應用至關重要。由于含水量顯著影響非飽和土的強度,因此需要從實驗上研究水分在土壤基質內的分布。然而,盡管關于SWCC的研究眾多,但很少有研究探索支撐該曲線的水分分布特征。具體來說,在不同基質吸力下,保留在不同半徑孔隙中的水對吸力的貢獻不同,但孔隙水的組成、分布模式以及殘余水的相對含量仍不清楚。
基于低場核磁技術,可以探索不同基質吸力下非飽和土的孔隙水分布特征。這有助于闡明在排水過程中,隨著基質吸力增加,水分如何從不同尺寸的孔隙中被排出,從而揭示水分分布和排水行為的動態變化。可以為建立基于孔隙水分布的非飽和土力學模型提供關鍵見解和參考數據。
膨脹土、高嶺土和碳酸鈣廢土。
根據壓實試驗結果和路基壓實考慮,膨脹土、高嶺土和碳酸鈣廢土試樣的初始含水量分別設定為17.68%、17.50%和8.00%,干密度分別設定為1.40 g/cm3、1.61 g/cm3和1.80 g/cm3。試樣采用聚四氟乙烯環刀制備,分五層壓實,形成直徑61.8 mm、高20 mm的圓柱。
使用低場核磁檢測殘余孔隙水(型號:MacroMR12-110H-I),使用一維應力相關土壤水特征曲線(SWCC)壓力板裝置,施加基質吸力。
1)首先將試樣真空飽和。
2)然后在每一級預定的基質吸力下,讓試樣在壓力板裝置中達到平衡(通常需要3至5天)。
3)平衡后,取出試樣快速稱重。
4)稱重完成后,立即進行低場核磁測試。
5)測試完成后,將試樣放回壓力板裝置中,再施加下一級吸力。重復稱重、核磁測試,如此重復,直到收集到所有目標吸力下的T?曲線和SWCC曲線。
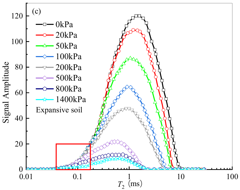
1. 三種土壤(高嶺土、碳酸鈣廢土、膨脹土)在不同基質吸力下的核磁共振T?弛豫曲線,提供了基于核磁共振技術的排水機理研究。分析如下:



圖1 不同基質吸力下的核磁共振T?弛豫曲線
總體趨勢與排水行為:對于所有土壤類型,隨著基質吸力增加,T?曲線的峰值逐漸降低,且峰值對應的T?值向左移動(即減小)。這表明土壤中的水含量減少,并且水分從較大的孔隙中被排出。而最小T?值相對恒定,表明含有結合水的孔隙結構在干燥過程中保持相對穩定。
曲線形態與孔隙結構:三種土壤的T?曲線大致呈單峰形態,表明其孔隙結構相對簡單,這有助于區分土壤中不同形式的水。
積分面積變化:隨著基質吸力增加,T?曲線下的積分面積逐漸減小,這直接對應于土壤含水量的減少。對于高嶺土,積分面積在0-130 kPa吸力范圍內下降最快;對于碳酸鈣廢土,在0-380 kPa范圍內下降最快;對于膨脹土,則在0-50 kPa范圍內下降最快。
土壤間差異:不同土壤的T?曲線變化特征存在差異,這主要歸因于顆粒尺寸分布、初始含水量、干密度和礦物成分的不同所導致的孔隙結構多樣性。例如,膨脹土的T?值主要分布在0.04至10 ms之間,而高嶺土的分布范圍更寬0.1至85 ms。
通過弛豫曲線,可以在脫水過程中、孔隙水排出的動態模式下進一步劃分孔徑分布,以及不同基質吸力下的水分組分分布(以高嶺土試樣為例)。


圖2 高嶺土土樣中的水形態分類圖
2、圖中將孔隙結構劃分為三個區域:毛細作用區、水膜吸附區和強吸附區,分別對應自由水、弱結合水和強結合水。
1)自由水:圖中對比了飽和狀態(0 kPa吸力)與臨界基質吸力狀態(例如高嶺土為350 kPa)下的兩條累積曲線。兩條曲線之間的面積,代表了在吸力從0 kPa增加到臨界值的過程中被排出的水分,這部分被定義為自由水。
2)強結合水:所有不同吸力下的曲線都會匯聚于一個不變的點,該點所對應的T?值以下的區域這部分不被排出的水被定義為強結合水。
3)弱結合水:介于自由水區域和強結合水區域之間的部分,則對應弱結合水。這部分水會隨著吸力超過臨界值后繼續被緩慢排出。
低場核磁共振技術能夠無損、連續地檢測非飽和土在不同基質吸力下的孔隙水分布,為定量分析自由水與結合水的動態變化提供了關鍵實驗手段,對微觀動態流動規律的研究提供有力支持。

大口徑核磁共振成像分析儀
如您對以上應用感興趣,歡迎咨詢:18516712219
[1] Lyu H, Fan L, Gu J, et al. Characterization of pore water distribution in unsaturated soils during drying process with NMR and soil-water characteristic curves[J]. Transportation Geotechnics, 2024, 49(000).
電話:400-060-3233
售后:400-060-3233
返回頂部