在現代巖土工程中,單純的靜力分析已無法滿足需求。隨著極端環境(如凍土區、高寒地區)和復雜工程(如能源開發、地質災害治理)的發展,水分在受力狀態下的動態行為成為了關鍵制約因素。
在寒冷地區,水分結冰膨脹是導致路基凍脹和凍融破壞的主要原因,研究動載或靜載作用下水分如何向凍結前沿遷移,對于預測冰楔生長至關重要。重載鐵路、高速公路上,列車荷載會改變土體內部的應力狀態,進而影響水分的滲透路徑,研究表明,動應力會加速水分向上遷移,導致翻漿冒泥等病害。在頁巖氣開采或地下核廢料處置中,注入流體的壓力變化會引發復雜的滲流-應力耦合,了解水分及流體在高壓下的遷移規律,直接關系到井壁穩定性與污染物擴散風險。
傳統土三軸視角專注于應力-應變曲線、峰值強度等宏觀參數,無法直接觀測水分是如何在剪切作用下集中,又是如何隨壓力梯度流動的。將土三軸與低場核磁水分監測技術結合,解決了傳統方法中“只能測宏觀結果,無法解釋內部過程”的痛點,是力學手段與物理場探測技術的深度融合的前沿科研體現。它不僅告訴我們“土體能承受多大的力”,更揭示了“在受力的過程中,水是怎么跑的、孔隙是怎么發育的”。這對于解決凍土路基失穩、鐵路翻漿冒泥以及非常規油氣開采中的井壁垮塌問題,具有不可替代的理論支撐作用。
樣品來源:選用了兩種典型的軟土—淤泥質黏土和砂質粉土。
樣品規格:圓柱體尺寸:直徑39.1 mm × 高度 80 mm 。


圖一軟土制成的測試樣品

圖二 核磁設備MacroMR12-150V-I
裝樣:首先,利用滲流系統排除管路中的空氣,確保無氣泡干擾。隨后,在探頭線圈基座上依次放置無核磁信號的透水石、濾紙、土樣、透水石和加載帽,并用乳膠膜密封。
管路連接:將三軸夾持器外殼安裝好,并分別連接軸向壓力、圍壓、滲流及循環流體的進出口管路。
參數設置與測試:
1)初始狀態穩定:在凍結前,先對試樣進行滲流,直至其內部滲流通道達到穩定狀態,并采集此狀態下的初始核磁共振信號。
2)凍結-滲流耦合測試:設置圍壓為70 kPa,軸壓為100 kPa,模擬實際地層應力。開啟低溫循環,將凍結溫度設定為-30°C(梯度降溫),并施加0.5 ml/min的滲流邊界條件。在此過程中,系統持續采集T?譜和MRI圖像,以監測水分遷移和滲流通道的演化。
3)壓力融化測試:待試樣在-30°C下凍結穩定后,保持溫度不變,分級增加圍壓和軸壓(例如,軸壓/圍壓分別設置為100 kPa/200 kPa、300 kPa/500 kPa、600 kPa/1000 kPa),并采集相應壓力下的T?譜數據,以分析壓力融化過程中冰-水相變及孔隙結構的變化。

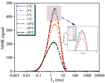
圖三 凍滲耦合下黏土弛豫譜

圖四 凍滲耦合下砂質粉土弛豫譜
上圖展示了兩種人工凍結軟土(黏土、沙質粉土)在低溫凍結狀態下的核磁共振(NMR)T?譜。其孔隙結構變化機制如下:
1)大孔隙消失:自由水主要存儲于大孔隙中,當溫度降至凍結點(如黏土約-1℃ ),大孔隙內的水迅速凍結,導致其信號消失。
2)微孔主導:剩余主峰代表微孔中的結合水,其比例隨溫度降低而增加。以黏土為例,在-1℃至-30℃的凍結過程中,微孔數量較室溫增加5.9%~6.0%。
3)滲流-凍結耦合效應:滲流沖刷破壞大孔隙結構,使其分裂為微孔;同時凍結作用進一步促使大顆粒凍脹破裂,加劇微孔數量增長(砂質粉土在-30℃時大孔減少91.1%)

圖五:冰凍和滲流耦合下黏土成像

圖六:冰凍和滲流耦合下沙質粉土成像
上圖展示了人工凍結軟土(黏土與砂質粉土)通過低溫三軸滲流MRI系統,在滲流邊界條件下模擬實際工程環境,并施加溫度梯度(從室溫降至-30 ℃ )耦合作用下的孔隙結構動態演變。有以下分析結論:
1)孔隙結構變化特征:
黏土:滲流作用初期(未凍結時),大孔隙比例增加(微孔比例下降),形成非均勻滲流通道;凍結后(如-1℃至-30℃),大孔隙信號完全消失,微孔比例顯著上升(增加5.9%~6.0%),最終微孔占比達100%(圖五)。
砂質粉土:滲流作用形成均勻滲流通道,但凍結后大孔隙減少91.1%,微孔比例同步增加(-30℃時幾乎完全凍結)(圖六)。
2)機制解析:
滲流主導階段:水流沖刷導致黏土大孔隙擴張(顆粒遷移),砂質粉土因高滲透性形成均勻通道。
凍結主導階段:低溫使大孔隙中的自由水凍結,NMR信號消失(對應T?譜峰衰減);未凍結水向微孔遷移,結合凍脹破裂效應(冰晶擠壓使大顆粒分裂),進一步增加微孔數量。

推薦:大口徑核磁共振成像分析儀(MacroMR12-150V-I)
[1] Zhou J, Zhou H, Ban C, et al. Evolution characterization of moisture migration and pressure-melting of artificially frozen soft soil based on low-temperature triaxial seepage MRI system[J]. Cold Regions Science and Technology, 2025, 237
電話:400-060-3233
售后:400-060-3233
返回頂部